Tayyab, U., Wilkinson, R. G., Reynolds, C. K.
ORCID: https://orcid.org/0000-0002-4152-1190 and Sinclair, L. A.
(2018)
Particle size distribution of forages and mixed rations, and their relationship with ration variability and performance of UK dairy herds.
Livestock Science, 217.
pp. 108-115.
ISSN 1871-1413
doi: 10.1016/j.livsci.2018.09.018
Abstract/Summary
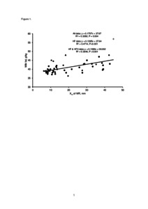
The particle size of the ration has been proposed as a key factor, along with its fibre and non-forage carbohydrate concentration, to ensure healthy rumen function and optimal performance of dairy cows. The current particle size distribution recommendations for forages and rations are primarily based on lucerne-haylage and maize silage (MS) and may not be suitable for the wetter grass silage (GS) based rations typically fed in Northern Europe. In order to characterize the particle size distribution of forages and rations in the UK, fifty commercial dairy herds feeding a range of GS and MS based rations were sampled during the winter of 2015/2016. The particle size distribution of the fresh forages and mixed rations (MR; total and partial mixed rations) were analysed using a modified Penn State Particle Separator with six screens of hole size 60, 44, 26.9, 19, 8, and 4 mm. The fresh MR was collected at 5-equally-spaced locations along the length of the feed-face for each herd within 5-min of feeding to determine the consistency of ration mixing, and again from the same locations 4h post-feeding. Grass silage was the main forage fed on 50 herds, with 80.3% of the dry matter (DM) being retained above the 19 mm sieve, which is considerably higher than the North-American recommendations for lucerne-haylage. The particle size distribution of MS followed the general recommendations for North American forages, however, the 8-19 mm fraction was higher and the <4 mm lower. The >60 mm fraction of the MR had the lowest (0.1% DM) DM retention, and the 8-19 mm fraction the highest (34.9% DM). The MR had a higher proportion of particles retained on the 26.9 mm sieve when GS was the sole forage. Fifty eight % of herds were considered to have either moderately or poorly mixed rations, whilst 66% had evidence of diet selection (either preferential consumption or selective refusals). Particle size of the MR accounted for 33% of the variance in the milk fat content and 12% of milk yield. In conclusion, the particle size distribution of the GS and MR fed on UK dairy herds is different from the current recommendations, suggesting that the particle size of UK dairy rations is too long or new guidelines using additional sieves with larger pore sizes are required. There is also a high proportion of herds with poor mixing and/or evidence of diet selection.
Altmetric Badge
Dimensions Badge
| Item Type | Article |
| URI | https://reading-pure-test.eprints-hosting.org/id/eprint/79818 |
| Identification Number/DOI | 10.1016/j.livsci.2018.09.018 |
| Refereed | Yes |
| Divisions | Life Sciences > School of Agriculture, Policy and Development > Department of Animal Sciences > Animal, Dairy and Food Chain Sciences (ADFCS)- DO NOT USE |
| Uncontrolled Keywords | Dairy cows, ration variability, diet selection, particle size distribution |
| Publisher | Elsevier |
| Download/View statistics | View download statistics for this item |
Downloads
Downloads per month over past year
University Staff: Request a correction | Centaur Editors: Update this record
Download
Download